Mini
[틀림 세모] 백준 5557 1학년 // dfs dp 본문
https://www.acmicpc.net/problem/5557
* 풀이
+ , - 2가지 경우의수
완탐 -> 2^100 -> 불가
dp?


#include<bits/stdc++.h>
using namespace std;
typedef long long ll;
int n;
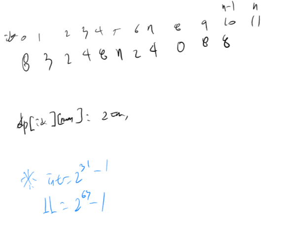
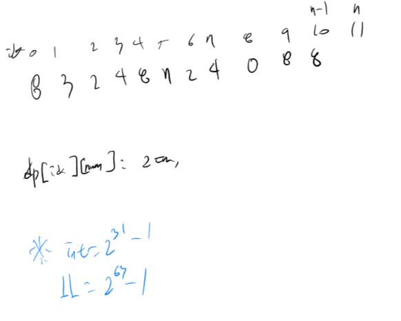
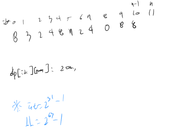
int arr[104];
ll dp[104][24]; //(idx, num) : 그떄 경우의수
ll dfs(int idx, int num) {
if(num <0 || num >20) {
return 0;
}
if(idx==n-1) {
if(num==arr[idx]) {
// cout<<idx<<" "<<num<<"\n";
return 1;
}
return 0;
}
ll & ret = dp[idx][num];
if(ret!=-1) {
return ret;
}
ret=0;
ret+=dfs(idx+1,num+arr[idx]);
ret+=dfs(idx+1,num-arr[idx]);
return ret;
}
int main() {
ios_base::sync_with_stdio(0);
cin.tie(0); cout.tie(0);
memset(dp,-1,sizeof(dp));
cin>>n;
for(int i=0;i<n;++i) {
cin>>arr[i];
}
// cout<<dfs(0,0);
// 안되는 이유 : 첫숫자를 2번사용하게됨.?
cout << dfs(1, arr[0]);
return 0;
}
시행착오
마지막 숫자와 같은지 검사, 마지막숫자도 더하거나 빼는것이 아님.
idx는 현재 검사대상임 (검사안함), 종료조건 주의
idx가 n-1일때, num(누적합) 과 arr[idx]를 비교하면 됨.

dfs(0,0)으로 시작 하면 안되는이유
반례 ) arr[0]이 0인경우, num 범위체크에서 안걸러짐
정답이 2배가 되는 문제 발생

따라서 , dfs(1, arr[0])으로 호출하거나, dfs(idx+1, num + arr[idx+1])로 구현해야함.
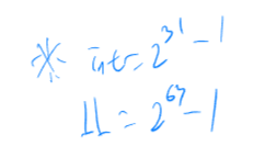
max int, max LongLong

'Algorithm > dp' 카테고리의 다른 글
| [틀림] 백준 1480 보석모으기 // 가방여러개 dp (0) | 2025.04.24 |
|---|---|
| [틀림 세모] 백준 14863 서울에서 경산까지 // dfs dp, ret초기값 주의 (0) | 2025.04.06 |
| [틀림] 프로그래머스 도둑질 // 노드스킵 dp (0) | 2025.03.20 |
| [틀림] 백준 2169 로봇조종하기 // 중복방문안된는 dp, 방향 dp (0) | 2025.03.19 |
| [맞음] 백준 1535 안녕 // 갯수1개 제한 dp (0) | 2025.03.18 |