Mini
[틀림 hard] 프로그래머스 외벽점검 // 원형배열, 순열, 비트마스킹 본문
https://school.programmers.co.kr/learn/courses/30/lessons/60062
프로그래머스
SW개발자를 위한 평가, 교육, 채용까지 Total Solution을 제공하는 개발자 성장을 위한 베이스캠프
programmers.co.kr
* 풀이
- n이 작음 (15) -> 비트마스킹? -> 내부에서 순서도 중요하네? -> 그냥 순열?
- idx가 사람의수이면서 && dist의 index 역할
- j는 weakArr(weak를 시작점에따라 바꾼것) 의 index임
- dist를 앞부터 weakArr에 집어 넣어보는 완전탐색 방법.

- 원형배열 구현 , 거리가 중요한경우
- 결론 : startIdx기준으로 뒤넣고, 앞넣을때 배열 size만큼 더해주면된다.
vector<int> make(int startIdx, vector<int>& weak){
vector<int> ret;
if(startIdx==0) return weak; //0부터시작은 그냥 자기자신임
for(int i=startIdx;i<weak.size();++i){ // [1 5 6 7] 에서 [5 6 7] 넣기
ret.push_back(weak[i]);
}
for(int i=0; i<startIdx;++i){ // 앞에 남은것들 , 1을 1+12해서 넣기
ret.push_back(weak[i]+N);
}
return ret;
}
- 시간복잡도
- weak(15) * weak(15) * dist 순열 8! < 1억 -> 가능
#include <bits/stdc++.h>
using namespace std;
int ret=987654321;
int N;
int fac(int n){
if(n==1) return 1;
return n * fac(n-1);
}
vector<int> make(int startIdx, vector<int>& weak){
vector<int> ret;
if(startIdx==0) return weak; //0부터시작은 그냥 자기자신임
for(int i=startIdx;i<weak.size();++i){ // [1 5 6 7] 에서 [5 6 7] 넣기
ret.push_back(weak[i]);
}
for(int i=0; i<startIdx;++i){ // 앞에 남은것들 , 1을 1+12해서 넣기
ret.push_back(weak[i]+N);
}
return ret;
}
void testmake(){
vector<int> vv = {1,5,6,7};
vector<int> tmp = make(1,vv);
for(auto i :tmp){
cout<<i<<" ";
}
}
int solution(int n, vector<int> weak, vector<int> dist) {
N=n;
// cout<<fac(8);
sort(dist.begin(),dist.end()); // 순열위해 정렬필요
// int n = weak.size();
do{
for(int i=0;i<weak.size();++i){ //weak를 순열돌리기 (시작위치 다르게)
vector<int> weakArr = make(i,weak);
int idx=0; //dist의 idx == 사람수
// int i=0; // weak의 idx
int cur = weakArr[0] + dist[0]; //현재사람의 커버가능한 최대거리
int flag=1; //가능한지
for(int j=0;j<weakArr.size();++j){ // j : weak의 idx
if(weakArr[j] > cur){ //커버할수없는경우, 새사람필요
if(idx + 1 == dist.size()){ //새사람이 필요한데, 사람이없으면 실패
flag = 0; break;
}
cur = weakArr[j] + dist[++idx];
}
}
if(flag) ret = min(ret, idx+1); //인덱스+1 == 사람수
}
}while(next_permutation(dist.begin(),dist.end()));
// testmake();
if(ret==987654321) return -1;
return ret;
}
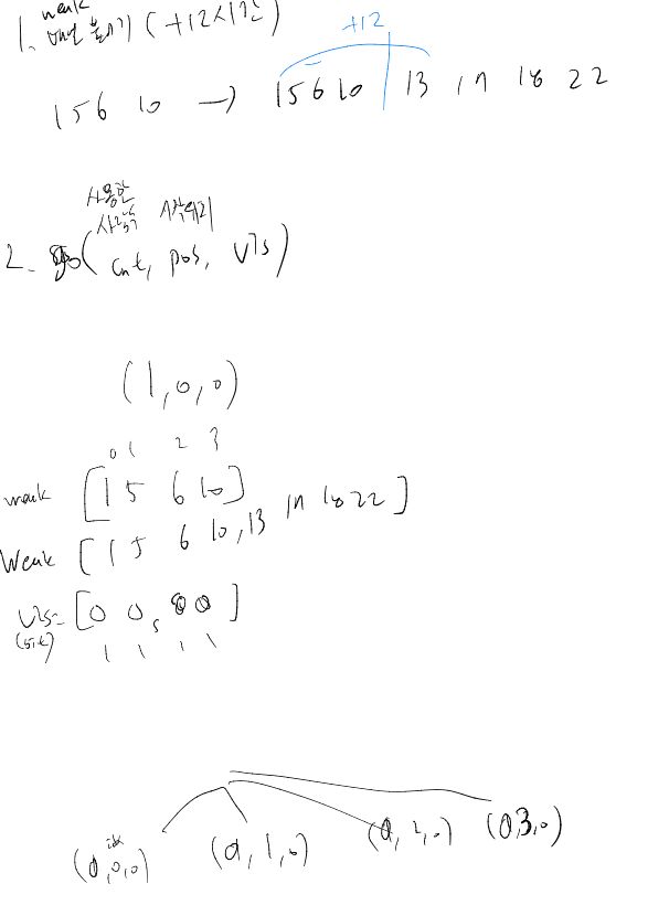
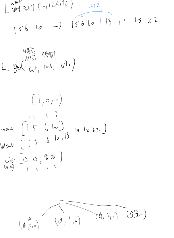
* 25.8.22. 2회독
순열, 조합 -> 복잡쓰
Weak 배열의 뒤쪽을 +n칸 으로 채움 => 계산 easy, 원형배열 행동영역

구멍배열을 index 기준으로 1칸씩 메꿔보면 됨.

그리디 : 거리가 큰 사람부터 사용하는게 최적해 이다.
상태 : (사용한사람수, 시작위치, 방문비트)

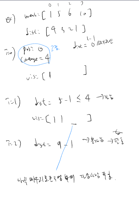
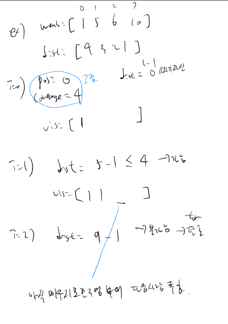
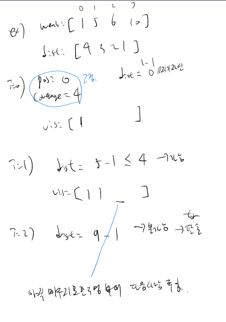
작동예시

import java.util.*;
class Solution {
static int N,len,ret=Integer.MAX_VALUE;
static int[] Weak;
static Integer[] Dist;
static int[][] arr;
void go(int cnt, int pos, int vis) {
// 사람을 다 써버린 경우 (가지치기)
if(cnt >= Dist.length) {
return;
}
// 현재 사람이 커버할 수 있는 범위 계산
int coverage = Dist[cnt];
// pos부터 시계방향으로 coverage만큼 이동하며 구멍들을 메움
for(int i = 0; i < len; ++i) {
int currentPos = (pos + i) % len;
// 거리 계산 (원형이므로 조심)
int distance;
distance = Weak[pos + i] - Weak[pos];
if(distance > coverage) {
break;
}
vis |= (1 << currentPos);
}
// 모든 구멍을 메운 경우
if(vis == (1 << len) - 1) {
ret = Math.min(ret, cnt + 1);
return;
}
// 아직 메우지 못한 구멍에서 다음 사람 투입
for(int i = 0; i < len; ++i) {
if((vis & (1 << i)) == 0) { // 아직 메우지 못한 구멍
go(cnt + 1, i, vis);
}
}
}
public int solution(int n, int[] weak, int[] dist) {
arr = new int[n][n];
// System.out.println(Arrays.deepToString(arr));
len=weak.length;
N = n;
Weak = new int[len*2];
// 배열붙이기 +n 시간
for(int i=0;i<len;++i){
Weak[i]=weak[i];
}
for(int i=len;i<2*len;++i){
Weak[i]=weak[i-len]+n;
}
// 그리디 : 반경이 높은것부터 투입하는게 최적해이다.
Dist = Arrays.stream(dist).boxed().toArray(Integer[]::new);
Arrays.sort(Dist, (a,b)->b-a); // int[]는 람다식 안됨
// System.out.println(Arrays.toString(Dist));
// System.out.println(Arrays.toString(Weak));
for(int i=0;i<weak.length;++i){
go(0,i,0);
}
if(ret==Integer.MAX_VALUE) return -1;
return ret;
}
}'Algorithm > 배열' 카테고리의 다른 글
| [맞음] 프로그래머스 서버증설횟수 // 배열, 구현 (0) | 2025.05.13 |
|---|---|
| [틀림] 프로그래머스 자물쇠와 열쇠 // 배열회전, 배열좌표 (0) | 2025.04.04 |
| [알고리즘] 리트코드 238. Product of Array Except Self c++ // 배열, 누적곱, rbegin, partial_sum (0) | 2024.07.02 |
| 리트코드 자기를 제외한 배열의 곱 c++ // 누적곱 해결방법 : 누적곱 테이블을 정의하라 (0) | 2024.05.18 |
| 백준 13458 시험감독 c++ // ret는 int범위를넘을수있다. (0) | 2024.02.16 |