Mini
[틀림] [알고리즘] 백준 15685 드래곤 커브 // 구현, 기하문제는 규칙을 찾아라 본문
https://www.acmicpc.net/problem/15685
* 풀이과정
- 시도1
- 너무복잡.. gg

* 큰돌풀이
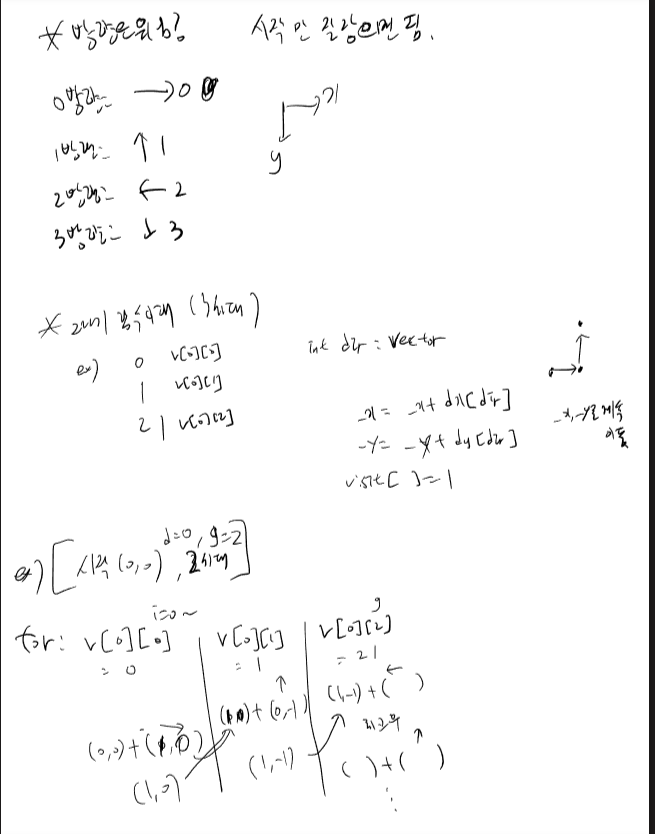
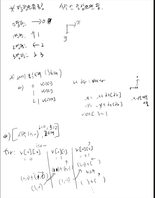
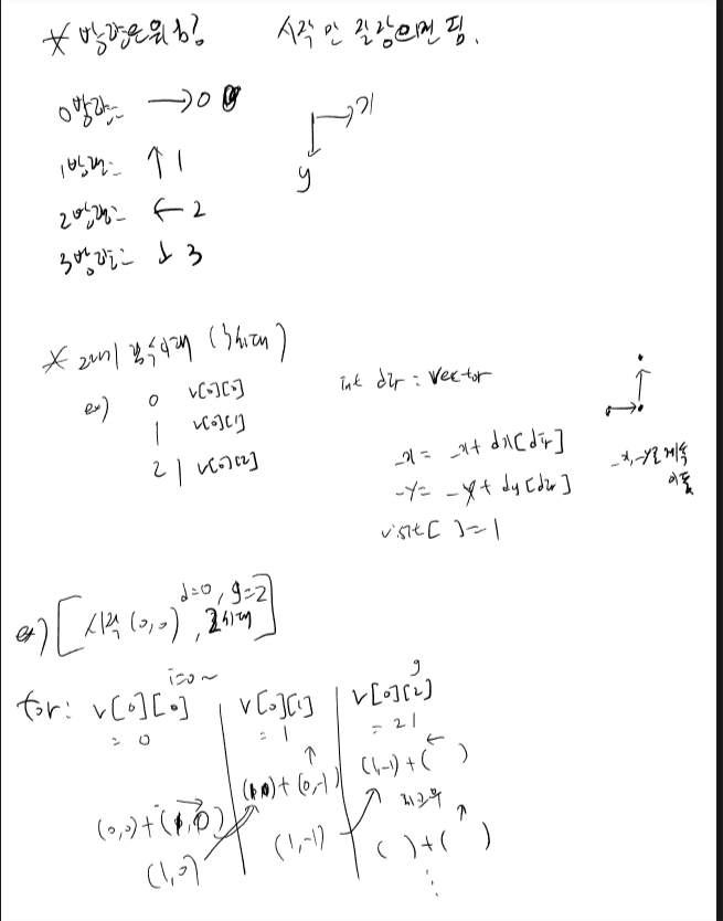
- 상태를 정의함
- 각 그림을 상태(숫자)로 표현!!
- 숫자에서 규칙찾기
- vector에 [방향][세대] = { 방향정보들 } 저장



#include<bits/stdc++.h>
using namespace std;
int ret;
int n,x,y,d,g;
vector<int> v[4][11]; //v[방향][세대] : { ... } 방향정보들
int dy[] = {0,-1,0,1}; // 오위좌아
int dx[] = {1,0,-1,0};
int vis[104][104];
void go(int x, int y, int d, int g) {
int _x = x;
int _y = y;
vis[y][x]=1; //시작점 체크
// 주의 : 0세대부터 g세대까지 다해야함
for(int i=0;i<=g;++i) {
for(auto dir : v[d][i]) {
_x = _x + dx[dir];
_y = _y + dy[dir];
vis[_y][_x]=1;
}
}
}
void make() {
//각 방향에대해
for(int i=0;i<4;++i) {
v[i][0].push_back(i);
v[i][1].push_back((i+1)%4);
//각 세대 채우기
for(int j=2;j<=10;++j) {
int back = v[i][j-1].size()-1;
for(int k=back; k>=0;--k) { //이전값의 뒤부터 +1해서 붙이기
v[i][j].push_back((v[i][j-1][k]+1)%4);
}
for(int k=0;k<v[i][j-1].size();++k) {
v[i][j].push_back(v[i][j-1][k]); // 이전값을 그대로 이어붙이기
}
}
}
}
int main(){
ios_base::sync_with_stdio(0);
cin.tie(0); cout.tie(0);
cin>>n;
make();
for(int i=0;i<n;++i) {
cin>>x>>y>>d>>g;
go(x,y,d,g);
}
for(int i=0;i<=103;++i) {
for(int j=0;j<=103;++j) {
if(vis[i][j] && vis[i][j+1] && vis[i+1][j] && vis[i+1][j+1]) ret++;
}
}
cout<<ret;
}
'Algorithm > 구현' 카테고리의 다른 글
| [틀림] 백준 16235 나무제테크 // 구현, 배열에 여러정보필요한경우, 삭제보다는 새로할당 (0) | 2025.03.18 |
|---|---|
| [세모] 백준 1269 대칭차집합 // 카운팅스타? 맵또는 배열 (0) | 2025.03.08 |
| [알고리즘] 백준 14891 톱니바퀴 // 구현, 배열회전 (0) | 2025.02.13 |
| [알고리즘] 백준 12100 Easy // 구현, 대칭구현은 한방향만 만들고 배열회전을 이용하라 (0) | 2025.02.10 |
| [알고리즘] 백준 14890 경사로 // 구현, 전치행렬이용, cnt 이용법 (0) | 2025.01.11 |