Notice
Recent Posts
Recent Comments
Link
«   2026/01   »
1 2 3
4 5 6 7 8 9 10
11 12 13 14 15 16 17
18 19 20 21 22 23 24
25 26 27 28 29 30 31
Tags
more
Archives
Today
Total
관리 메뉴

Mini

[틀림] [알고리즘] 백준 1911 흙길 보수하기 // 라인스위핑 본문

Algorithm/간격, 라인스위핑

[틀림] [알고리즘] 백준 1911 흙길 보수하기 // 라인스위핑

Mini_96 2025. 2. 14. 22:01

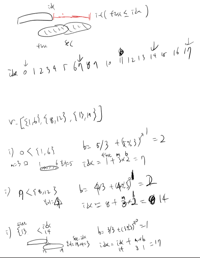
* 풀이

  • 핵심 아이디어
    • 변수를 잘 정의해야함. 
    • idx 변수 : 현재까지 덮은 위치
    • b : 필요한 널빤지 갯수 
      • = 길이 / m + (길이%m)이 있으면 +1 없으면 + 0

  • 크게 3가지 경우로 나누기
  • 첫경우 -> pass
  • 나머지경우 -> 길이를 계산, idx 갱신
#include<bits/stdc++.h>
using namespace std;   
void fastIO(){
    ios_base::sync_with_stdio(false); cin.tie(NULL); cout.tie(NULL);
}    
int n;    // 웅덩이의 개수
int m;    // 널빤지의 길이
int idx;  // 현재까지 덮은 위치
int ret;  // 필요한 널빤지의 총 개수
int b;    // 현재 웅덩이를 덮는데 필요한 널빤지 개수
int main(){
    fastIO(); 
    cin >> n >> m; 
    vector<pair<int,int>> a(n);
    for(int i = 0; i < n; i++) cin >> a[i].first >> a[i].second;
    sort(a.begin(), a.end());
    for(int i = 0; i < n; i++){
        if(idx >= a[i].second) continue;
        if(idx < a[i].first) {
            b = (a[i].second - a[i].first)/m + ((a[i].second - a[i].first)%m ? 1 : 0);
            idx = a[i].first + m*b;
        }
        else {
            b = (a[i].second - idx)/m + ((a[i].second - idx)%m ? 1 : 0);
            idx = idx + m*b;
        }
        ret+=b;
    }
    // cout<<idx<<"\n";
    cout << ret << "\n"; 
    return 0;
}